"Na straganie w dzień targowy..." - mówi się o niezłej kondycji polskich targowisk i bazarów
Zakaz handlu w niedzielę, wymierzony przede wszystkim w sklepy wielkopowierzchniowe i galerie handlowe, nie dotyczy targowisk, czy osiedlowych bazarków, które nadal mogą działać na bardzo liberalnych zasadach i skrajnie uproszczonych regułach.
Zgodnie z prawem, właściciel stoiska handlowego na targowisku może bez przeszkód prowadzić działalność, także w niedzielę. Kupowanie na bazarze staje się trendem, nie tylko wśród osób starszych, kojarzonych do niedawna z tego typu zakupami, ale również wśród młodszych, "hipsterskich" klientów, którzy szukają tam zdrowej, nieprzetworzonej żywności.
Dobra kondycja
Jak wynika z danych BIG InfoMonitor i BIK sytuacja finansowa w tym segmencie handlu jest całkiem dobra - na czerwiec 2018 r. tylko co 50 firma targowa (2,3 proc.) ma zaległe zobowiązania kredytowe i pozakredytowe na kwotę powyżej 500 zł opóźnione o co najmniej 30 dni, a łączna wartość niespłaconych długów sięga 52,40 mln zł.
Przemiany w polskiej gospodarce i handlu wielu Polakom kojarzą się z bazarami, na których z łóżek polowych oraz tzw. "szczęk" można było kupić niemal wszystko. Dziś polskie targowiska i bazary wyglądają już inaczej, ale wciąż chętnie robimy tam zakupy. Z rozlicznych badań ankietowych wynika, że regularnie odwiedza je około 15 proc. konsumentów.

Zaległości ma co 50-ta firma targowa
Jak pokazują dane z Rejestru Dłużników BIG InfoMonitor oraz bazy BIK, przedsiębiorcy z targowisk są raczej solidnymi płatnikami. Na 122 319 aktywnych i wyrejestrowanych już firm zajmujących się detalicznym handlem straganowym (uwzględniamy tu wyłącznie jednoosobowe działalności gospodarcze, które są przede wszystkim obecne na targowiskach), jedynie 2 856 posiada opóźnione powyżej 30 dni i na kwotę powyżej 500 zł zobowiązania kredytowe i pozakredytowe.
Jest to więc zaledwie 2,3 proc. tych firm. Zaległe zobowiązania kredytowe firm targowych wynoszą 24,4 mln zł, a pozakredytowe 28,0 mln zł. Średnie przeterminowane zadłużenie kredytowe przypadające na jedną firmę z tego typu zaległościami wynosi 49 473 zł, a średnie nieopłacone zobowiązania pozakredytowe to 11 854 zł.
- Ta solidność targowych handlarzy nie oznacza jednak wcale, że handel ten jest obarczony znacząco niższym poziomem ryzyka, niż inne gałęzie handlu. Ogólnie dla całego handlu, opóźnione powyżej 500 zł i 30 dni zobowiązania pozakredytowe miało 3,5 proc. mikroprzedsiębiorstw, a kredytowe 1,5 proc.- mówi Sławomir Grzelczak, prezes BIG InfoMonitor.
Mazowsze i Śląsk na czele pod kątem liczby niesolidnych dłużników
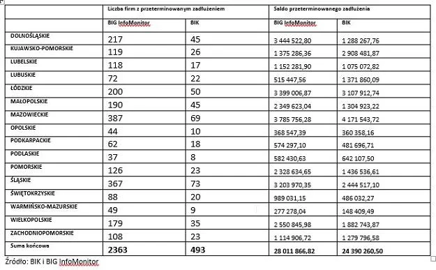
Najwięcej firm wpisanych do baz BIG InfoMonitor i BIK prowadzi swoją działalność w województwie mazowieckim (456) oraz w śląskim (440). Na trzecim miejscu plasuje się województwo dolnośląskie z liczbą 262 takich firm.

Problem przeterminowanych zaległości najrzadziej występuje w województwach: warmińsko-mazurskim, podkarpackim, opolskim oraz na Podlasiu, gdzie podmiotów wpisanych do bazy BIG InfoMonitor oraz takich, których zaległości kredytowe w bankach zostały odnotowane w bazie BIK jest najmniej. Również pod kątem wartości, najmniejsze zaległości w obu bazach odnotowano w woj. podlaskim.
Prawie 100 tys. punktów działa na targowiskach
Targowiska to wyodrębnione tereny i budowle (place, ulice, hale targowe) ze stałymi lub sezonowymi punktami sprzedaży drobnodetalicznej lub urządzeniami przeznaczonymi do prowadzenia handlu w wyznaczone dni tygodnia lub codziennie .
Z danych GUS wynika, że w 2016 r. zarejestrowanych było 2 199 stałych targowisk (w tym 2 112 targowisk z przewagą sprzedaży drobnodetalicznej). Na ich terenie działało ok. 96,5 tys. stałych punktów sprzedaży drobnodetalicznej, wśród których 56,3 tys. było otwartych codziennie. Uzupełnieniem stałej sieci targowiskowej były targowiska sezonowe, których w 2016 r. odnotowano 6 938. Roczne wpływy z opłaty targowej były niższe w ujęciu r/r o blisko 7,5 proc.
Z badań przeprowadzonych w Katedrze Ekonomiki Rolnictwa i Międzynarodowych Stosunków Gospodarczych SGGW wynika, że udział handlu targowiskowego w detalicznym obrocie artykułami FMCG wynosi 5-7 proc. i dotyczy przede wszystkim produktów rolno-spożywczych, a w mniejszym stopniu także odzieży i obuwia.
W handlu targowiskowym uczestniczą głównie małe, rodzinne gospodarstwa rolne. Należy jednak pamiętać, że znaczący, choć trudny do oszacowania udział w obrocie targowiskowym i bazarowym mają także osoby handlujące towarami przez siebie nie wyprodukowanymi lecz kupowanymi od kogoś innego.
Mimo, że targowiska mogą liczyć na lojalną grupę klientów, to ich powierzchnia z roku na rok zmniejsza się. Badania przeprowadzone w SGGW wskazują, że w latach 1999-2014 skurczyła się ona o około 9 proc.
Badania SGGW wskazują też na prawidłowość polegającą na pozytywnym stymulującym wpływie koniunktury gospodarczej (dynamiki PKB) i inflacji na wzrost powierzchni bazarów i targowisk. We wszystkich opracowaniach zwraca się uwagę na zjawisko wypierania handlu targowiskowego przez rozwój sklepów wielkopowierzchniowych, choć handel targowiskowy traci wobec nich stosunkowo mniej niż na przykład sklepy lokalne, czy osiedlowe.
Handel bazarowy - schyłek czy rozkwit
Jeśli zakaz handlu w niedziele będzie utrzymany i wdrażany zgodnie z harmonogramem, oznacza to, że od 2020 r. w sklepach nie zrobimy zakupów już w żadną niedzielę. To szansa dla handlujących na bazarach i targowiskach na dodatkowy zarobek, skoro będą mogli nadal swobodnie handlować w ustawowe dni wolne. Dodatkowo, warto też pamiętać o pewnych trendach cywilizacyjnych, które w Polsce mają szansę na popularyzację. Polacy w coraz większym stopniu zwracają uwagę na pochodzenie i jakość produktów spożywczych. A to właśnie bazar staje się synonimem dobrej, nieprzetworzonej i zdrowej żywności.
Zagrożeniem dla targowisk jest z kolei utrzymujący się wymóg płacenia gotówką, co będzie stanowiło problem dla rosnącej grupy klientów, którzy w coraz większym stopniu preferują płatności bezgotówkowe - czy to kartą, czy telefonem.

Handel na straganach w Polsce od strony formalnej
Stragan może być prowadzony w formie jednoosobowej działalności gospodarczej oraz w formie spółki osobowej lub kapitałowej.
Sprzedaż na rzecz osób fizycznych nieprowadzących działalności gospodarczej wiąże się z obowiązkiem ewidencjonowania na kasie fiskalnej. Istnieje jednak możliwość zwolnienia przedsiębiorcy z konieczności prowadzenia kasy fiskalnej, jeżeli obrót na rzecz osób fizycznych nieprowadzących działalności gospodarczej nie przekroczy w proporcji okresu wykonywania tych czynności w danym roku, kwoty 20 tys. zł, a rodzaj sprzedawanych produktów nie jest wymieniony w katalogu towarów, które bezwzględnie powinny być ewidencjonowane na kasie.
Zasada ta nie oznacza jednak, że właściciel sklepu jest całkowicie zwolniony z obowiązku dokumentowania sprzedaży. Konieczna jest wówczas ewidencja sprzedaży, w której każdorazowo należy zapisywać transakcje na rzecz osób prywatnych i rolników ryczałtowych.
Należy jeszcze pamiętać o ponoszeniu opłaty targowej od sprzedaży prowadzonej poza budynkami na rzecz Gminy, na obszarze której prowadzony jest handel na straganach. Opłatę targową pobiera się niezależnie od należności za korzystanie z targowiska.
Raport - Biuro Informacji Gospodarczej InfoMonitor (BIG InfoMonitor)
Prowadzi ono Rejestr Dłużników BIG. Działając w oparciu o Ustawę o udostępnianiu informacji gospodarczych i wymianie danych gospodarczych przyjmuje, przechowuje i udostępnia informacje gospodarcze o przeterminowanym zadłużeniu osób i firm.









